中建玖里书香售楼处电话→售楼中心电话→楼盘百科→首页网站→24小时热线电话
扫描到手机,新闻随时看
扫一扫,用手机看文章
更加方便分享给朋友
中建玖里书香_售楼处电话:400-000-0460转4444【营销中心】
➤➤〢温馨提示:本电话为开发商提供线上售楼电话,仅限服务购房相关咨询及预约
楼盘介绍,在售户型、小区图片、区位优势、交通、周边商业配套、户型图等楼盘详情!
项目参数信息
【开发商】:中建二局海港(上海)房地产开发有限公司
【项目占地】:156730 ㎡
【建筑面积】:440900 ㎡
【总体量】:1032套(高层642套,别墅390套)
新加推440套(高层260套,别墅180套)
【层高】:叠加4/5/6层
【建面】:别墅135-150㎡
【装修状况】:带装修
【梯户比】:高层一梯两户/二梯四户/ 三梯六户
叠加一梯两户
【均价】:叠墅34428元/平方米(一期)
叠墅34928元/平方米(二、三期)
【总价】: 叠墅:420-600万
【绿化率】:35%
【容积率】:2.0
【交房时间】:2024年9月30日(二期、三期)
2024年6月30日(叠加一期)
【物业费】: 高层3.6元/平
叠加4.4元/平
【物业公司】:北京中建世纪物业
【车位配比】:1:1.1

央企中建匠心钜著
有外到内的理想人居
【中建·玖里书香】总占地面积约16万㎡,总建筑面积约44万方,可售套数2090套,为临港主城区少有的墅质大盘。
效果图
产品设计上打造了高层和叠加两种产品:主力面积为建面约86-99㎡瞰景高层;建面约135-150㎡宽境叠拼;还有建面约135-150㎡奢适大平层。
效果图
整体容积率约2.0,社区整体为现代风格建筑,打造“一街两轴两环四庭六园十一巷”的景观布局。
两轴:沿袭府门仪制,采用三进制归家礼仪;
两环:打造老年、儿童、青年于一体的两大主题IP活力环,营造全龄段健康休闲空间;
四庭:针对不同人群需求,打造四大主题乐园;
六园:通过景观与空间组合打造六大休闲空间,打造繁华深处的心灵栖息居;
十一巷:定制不同主题植物组合,打造曲径通幽,花团锦簇的诗意归家体验。
效果图
【中建·玖里书香】推出建面86-150㎡高层&叠加,共计约869套房源,均价28690元/㎡!房源位置均十分优渥,视野十分开阔。两排高层具有超大楼间距,后排低区前面是小区中心花园,前排低区正对叠加的园林景观,高区更可俯瞰书院。
二期房源位置示意图
高区室外景观效果图
建面约86㎡3房2厅1卫 ▼
南北通透格局方正,动静分区,三开间朝南,所有卧室均带飘窗,在无形中扩大空间尺度,让阳光和景观全面渗透。植入LDK一体化理念,开放式厨房,打破界限思维,有效利用空间,增加生活的互动性。
约86平3房样板间▼
建面约99㎡3房2厅2卫▼
三开间朝南,阳台面宽可达约5.3米,横跨客厅和南向次卧,大幅度增加南向采光面。来客、家务、居住动线合理布局,互不干扰。双明卫设计,保证生活品质与独立私密。主卧套房,配置独卫、衣帽间,打造面面俱到的寝居空间。
约99平3房样板间▼
建面约120㎡的上叠户型图▼

建面约136㎡的上叠户型图▼

136㎡上叠一层

136㎡上叠二层
建面约135㎡的下叠户型图▼

约153㎡的下叠户型图(边套)▼

153㎡下叠一层

153㎡下叠二层
「中建玖里书香」
浦东自贸区新片区
约135-153㎡高层&叠墅
房源约80套 在售总价约420万+
精装准现房状态 可直接选
项目区位配套
2021年8月8日,中建地产华东开疆作品正式发布案名——【中建·玖里书香】。所在的临港新片区目标15年内建成世界滨海城市,GDP产值达到1万亿元。
效果图
2021年2月5日,北京中建地产有限责任公司(中建)以总价32.8604亿元竞得自贸区临港新片区书院社区B0603地块、B0701地块。其中,自贸区临港新片区书院社区B0603地块成交总价9.0659亿元,折合楼板价10434元/㎡。
自贸区临港新片区书院社区B0701地块总价23.7945亿元,折合楼板价10502元/㎡。
规划图
根据官方消息,书院镇B0404地块为九年一贯制学校项目,已于2020年11月27日举行开工仪式。
据了解,B0402地块为规划居民活动广场、B0403地块为规划商业、B0405地块为规划幼儿园、B0406地块为规划养老院,B0407地块为黄华港绿化带,B0401地块为丽正路绿化带。
【交通资源方面】:海陆空铁一体化交通,背靠浦东机场和上海东站(规划中),对望洋山深水港 ,近邻地铁16号线以及两港快线(规划中),立体通达路网。

区位示意图
【商业配套方面】:禹洲商业广场、欧亚玛特购物广场。
禹洲商业广场
【医疗资源方面】:上海市第六人民医院东院(三甲)、书院社区卫生服务中心。

上海市第六人民医院东院(三甲)
【休闲资源方面】:上海滨海森林公园、滨海高尔夫球场、上海鲜花港、上海天文馆、海昌海洋公园、滴水湖、冰雪之星(在建中)等环伺。
滴水湖
上海海昌海洋公园
上海天文馆

冰雪之星(在建中)
高尔夫球场
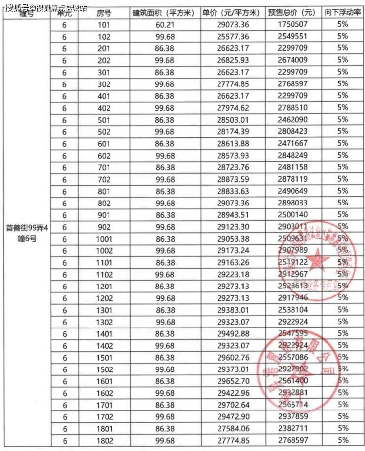
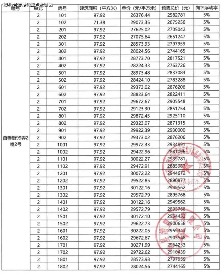
项目一房一价表
「中建玖里书香」
浦东自贸区新片区
约135-153㎡高层&叠墅
房源约80套 在售总价约420万+
精装准现房状态 可直接选
声明:本文由入驻焦点开放平台的作者撰写,除焦点官方账号外,观点仅代表作者本人,不代表焦点立场。
